Sample Size Formula | Calculator (Excel Template)
www.educba.com formula sample size calculating statistics calculator excel number steps finance necessary
How To Calculate Sample Size | Calculator | Formula | Statistics
sample size formula statistics calculate calculator score business choose board
What Sample Size Do I Need?
www.netquest.com sample size formula need individuals result above following previous
Sample Size Calculation Formulas For Some Research Methods (according
www.researchgate.net calculation formulas
Sample Size (Definition, Formula) | Calculate Sample Size
www.wallstreetmojo.com sample formula
Call Center Quality Assurance Sample Size Calculator - Voxjar
voxjar.com calculator calculate
How To Determine The Correct Sample Size - Qualtrics
www.qualtrics.com qualtrics determine
How To Calculate Sample Size.
www.learntocalculate.com sample size calculate formula therefore
Sample Size (Definition, Formula) | Calculate Sample Size
www.wallstreetmojo.com proportion
How To Calculate Sample Size.
www.learntocalculate.com calculate proportion margin error
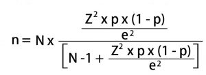
Sample size calculate formula therefore. How to calculate sample size.. Sample size (definition, formula)
Advertisement







0 comments:
Post a Comment