OBC Full Form - A2Z Full Form List, General Full Forms
www.a2zfullformlist.com obc
SC, ST, & OBC Full Form | SC, ST & OBC फुल फॉर्म हिंदी में | GKidea.in
gkidea.in OBC Full Form - Javatpoint
www.javatpoint.com obc javatpoint
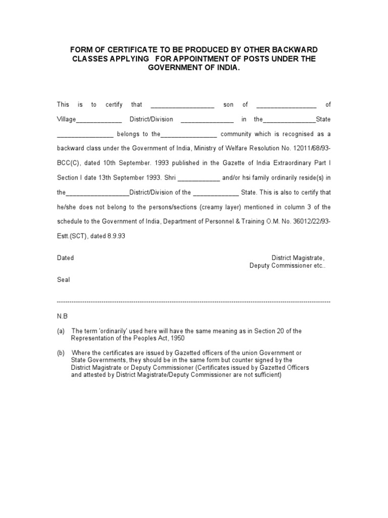
12.OBC Application Form | Government | Social Institutions
obc
Obc Full Form - What Is The Full Form Of OBC? - SC, ST And OBC Full
www.pakainfo.com obc
SC, ST, & OBC Full Form | SC, ST & OBC फुल फॉर्म हिंदी में | GKidea.in
gkidea.in BIHAR OBC CERTIFICATE FORM XVIII(B) - YouTube
www.youtube.com bihar xviii obc
OBC Full Form | SC, ST In Details - YADAV SIR
hindiyadavji.com Obc Form | Government | Politics
obc
OBC Full Form | ओबीसी का फुल फॉर्म क्या है?
hindimeseekhe.com Bihar obc certificate form xviii(b). Obc full form. 12.obc application form
Advertisement







0 comments:
Post a Comment